Publicatie: EMDR-therapie effectief bij persoonlijkheidsstoornissen

We zijn trots om te delen dat ons onderzoek naar de effectiviteit van EMDR-therapie bij mensen met een persoonlijkheidsstoornis recent is gepubliceerd in JAMA Network Open. Dit is het eerste grootschalige onderzoek dat systematisch de werking van EMDR bij persoonlijkheidsstoornissen onderzocht, ongeacht de aanwezigheid van een PTSS-diagnose.

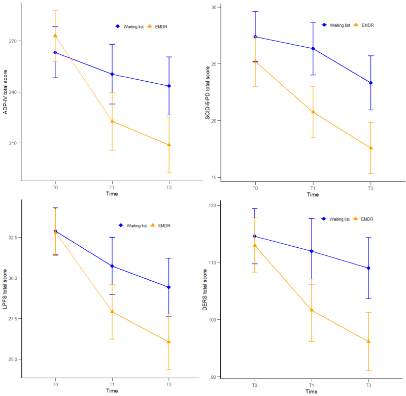
Kern van het onderzoek

Persoonlijkheidsstoornissen (PS) veroorzaken vaak ernstige problemen in het dagelijks leven en brengen hoge maatschappelijke kosten met zich mee. Omdat traumatische gebeurtenissen een belangrijke rol spelen in de ontwikkeling van PS, is onderzocht of een kortdurende, trauma-gerichte behandeling als EMDR effectief kan zijn. In totaal deden 159 patiënten mee. De helft kreeg 10 EMDR-sessies in 5 weken, de andere helft stond op een wachtlijst. Symptomen, functioneren en emotieregulatie werden gemeten voor, direct na en 3 maanden na de behandeling.

Belangrijkste resultaten

De resultaten laten zien dat EMDR-therapie duidelijk effect heeft:

  • Vermindering van PS-symptomen
  • 44% diagnostische remissie (vs. 6–16% in de wachtlijstgroep)
  • Verbetering van persoonlijkheidsfunctioneren en emotieregulatie
  • Duurzame effecten tot 3 maanden na behandeling
  • Geen bijwerkingen, lage uitval (5%)

Betekenis

Deze studie toont aan dat EMDR-therapie niet alleen effectief is bij PTSS, maar ook veelbelovend is als behandeling voor persoonlijkheidsstoornissen in bredere zin. Dit opent de deur naar kortere behandeltrajecten die de toegankelijkheid en effectiviteit van zorg kunnen vergroten.

📖 Lees het volledige artikel: Eye Movement Desensitization and Reprocessing Therapy in Persons With Personality Disorders: A Randomized Clinical Trial | Psychiatry and Behavioral Health | JAMA Network Open | JAMA Network

🎥 Bekijk de korte presentatie (4 minuten): Labpitch EMDR-congres / Nieuws | Kennisnetwerk Persoonlijkheidsstoornissen